Trong tài liệu giải bài Quy tắc tính đạo hàm được cung cấp và trình bày đầy đủ hệ thống các bài giải bài tập toán cùng với hướng dẫn chi tiết rõ ràng và cụ thể đảm bảo nội dung bám sát với chương trình giảng dạy sgk toán lớp 11. Qua tài liệu giải toán lớp 11 này các em học sinh không những nắm bắt được kiến thức học tập tốt cho bản thân mà còn biết thêm các phương pháp làm toán và dễ dàng lựa chọn cho mình cách làm toán hợp lý nhất để sử dụng cho bài học hay bài kiểm tra của mình. Bên cạnh đó tài liệu giải toán lớp 11: Quy tắc tính đạo hàm còn giúp các thầy cô làm giáo án giảng dạy để hỗ trợ việc học tốt toán lớp 11 cho các em.
=> Tìm tài liệu giải toán lớp 11 mới nhất tại đây: Giải toán lớp 11
Bài 1 (Trang 162 SGK Đại số 11)
Đáp án
a)
b)
Bài 2 (Trang 163 SGK Đại số 11)
Đề Bài: Tìm đạo hàm của các hàm số sau:

Đáp án:
a)
b)
c)
d)
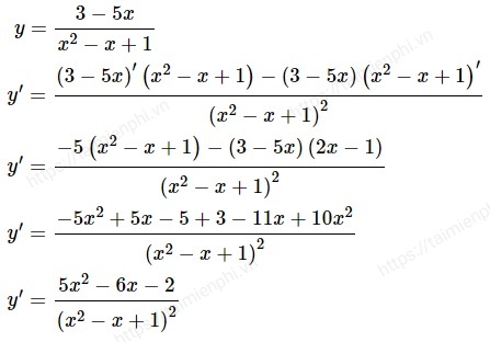
Bài 3 (Trang 163 SGK Đại số 11)
Đề Bài: Tìm đạo hàm của các hàm số sau:
Đáp án:
a)
b)
c)
d)
e)

Bài 4 (Trang 163 SGK Đại số 11)
Đề Bài: Tính đạo hàm của các hàm số sau:
Đáp án:
a)
b)
c)
d)
Bài 5 (Trang 163 SGK Đại số 11)
Đề Bài:
a)
b)
- Hết -
Sau bài quy tắc tính đạo hàm chúng ta sẽ tiếp tục với tài liệu giải bài khoảng cách, mời các bạn hãy cùng theo dõi trong bài viết sau nhé.
Ngoài bài học ở trên, hãy chú ý theo dõi thêm phần Giải Toán 11 trang 36, 37 của Bài 3. Một số phương trình lượng giác thường gặp để nâng cao kiến thức Toán lớp 11 của mình.
Chương II Đại số và Giải tích các em học bài Bài 1. Quy tắc đếm, hãy xem gợi ý Giải Toán 11 trang 46 của Bài 1. Quy tắc đếm để học tốt Toán 11.
Ngoài nội dung ở trên, các em có thể tìm hiểu thêm phần Giải bài tập trang 103, 104 SGK Đại Số và Giải Tích 11 để nâng cao kiến thức môn Toán 11 của mình.
https://thuthuat.taimienphi.vn/giai-toan-lop-11-quy-tac-tinh-dao-ham-30417n.aspx